| 图片 | 名称及描述 | 价格/规格 | 快速订购 | |
|---|---|---|---|---|
|
(Z)-4-(tributylstannyl)but-2-en-1-ol
|
价格库存 | |||
|
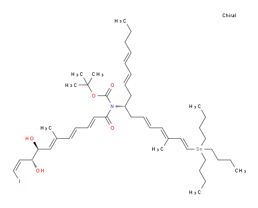
tert-butyl ((2E,4E,6E,8S,9R,10Z)-8,9-dihydroxy-11-iodo-6-methylundeca-2,4,6,10-tetraenoyl)((R,1E,3E,5E,10E,12E)-3-methyl-1-(tributylstannyl)hexadeca-1,3,5,10,12-pentaen-8-yl)carbamate
|
价格库存 | |||
|
(2E,4E,6E,8S,9R,10Z)-11-iodo-6-methyl-N-((R,1E,3E,5E,10E,12E)-3-methyl-1-(trimethylstannyl)hexadeca-1,3,5,10,12-pentaen-8-yl)-8,9-bis((triethylsilyl)oxy)undeca-2,4,6,10-tetraenamide
|
价格库存 | |||
|
(2E,4E,6E,8S,9R,10Z)-8,9-dihydroxy-11-iodo-6-methyl-N-((R,1E,3E,5E,10E,12E)-3-methyl-1-(tributylstannyl)hexadeca-1,3,5,10,12-pentaen-8-yl)undeca-2,4,6,10-tetraenamide
|
价格库存 | |||
|
(5R,6S,7S)-5-((S,3Z,5E,7E,9E,11E,13E)-4-fluoro-14-(tributylstannyl)tetradeca-3,5,7,9,11,13-hexaen-2-yl)-2,2,3,3,6,7-hexamethyl-4,8,11-trioxa-3-silatridecane
|
价格库存 | |||
|
N-(2',4'-bis((2-ethylhexyl)oxy)-[1,1'-biphenyl]-4-yl)-4,4-dimethyl-N-(2,2'',4,4''-tetrakis((2-ethylhexyl)oxy)-[1,1':3',1''-terphenyl]-4'-yl)-2-(trimethylstannyl)-4H-indeno[1,2-b]thiophen-6-amine
|
价格库存 | |||
|
N-(3-(6-amino-5-(2-((2-fluoroethyl)(4-methoxybenzyl)amino)ethoxy)pyrimidin-4-yl)-2-methyl-5-(tributylstannyl)phenyl)-4-cyclopropyl-2-fluorobenzamide
|
价格库存 | |||
|
(2S,3S,Z)-tert-butyl 3-allyl-1-tosyl-5-((tributylstannyl)methylene)-2-(4-(trifluoromethyl)phenyl)piperidine-3-carboxylate
|
价格库存 | |||
|
2-(5-bromothiophen-2-yl)-5-(2-hexyldecyl)-7-(trimethylstannyl)-5H-dithieno[3,2-c:2',3'-e][1,2]thiazine 4,4-dioxide
|
价格库存 | |||
|
2-bromo-5-(2-octyldodecyl)-7-(trimethylstannyl)-5H-dithieno[3,2-c:2',3'-e][1,2]thiazine 4,4-dioxide
|
价格库存 | |||
|
(2S,3S,Z)-methyl 3-allyl-2-(4-chlorophenyl)-1-tosyl-5-((tributylstannyl)methylene)piperidine-3-carboxylate
|
价格库存 | |||
|
(2S,3S,Z)-tert-butyl 3-allyl-2-(m-tolyl)-1-tosyl-5-((tributylstannyl)methylene)piperidine-3-carboxylate
|
价格库存 | |||
|
(2S,3S,Z)-tert-butyl 3-allyl-2-phenyl-1-tosyl-5-((tributylstannyl)methylene)piperidine-3-carboxylate
|
价格库存 | |||
|
(2S,3S,E)-tert-butyl 3-allyl-2-phenyl-1-tosyl-5-((tributylstannyl)methylene)piperidine-3-carboxylate
|
价格库存 | |||
|
(2S,3S,Z)-methyl 3-allyl-2-(p-tolyl)-1-tosyl-5-((tributylstannyl)methylene)piperidine-3-carboxylate
|
价格库存 | |||
|
tributyl((1E,3S,5E,7S,8R,9R)-8-methoxy-9-(methoxymethoxy)-3,5,7-trimethyldeca-1,5-dien-1-yl)stannane
|
价格库存 | |||
|
(4,8-bis(5-(2-ethylhexyl)thieno[2,3-b]thiophen-2-yl)thieno[2,3-f]benzofuran-2,6-diyl)bis(tributylstannane)
|
价格库存 | |||
|
(4,8-bis(5-(2-ethylhexyl)furan-2-yl)thieno[2,3-f]benzofuran-2,6-diyl)bis(tributylstannane)
|
价格库存 | |||
|
2-hexyl-4-(4-(hexyloxy)phenyl)-6-(tributylstannyl)-4H-dithieno[3,2-b:2',3'-d]pyrrole
|
价格库存 | |||
|
(6-bromo-4,4-dioctyl-4H-cyclopenta[1,2-b:5,4-b']dithiophen-2-yl)trimethylstannane
|
价格库存 | |||